Code
suppressPackageStartupMessages(library(ggplot2))
suppressPackageStartupMessages(library(dplyr))
suppressPackageStartupMessages(library(tidyr))
suppressPackageStartupMessages(library(googlesheets4))This page documents the process of importing, cleaning, and visualizing the data about student presentation preferences. The page then goes on to show how student presenters and discussants were assigned to readings by date and student preference.
We load some critical packages.
suppressPackageStartupMessages(library(ggplot2))
suppressPackageStartupMessages(library(dplyr))
suppressPackageStartupMessages(library(tidyr))
suppressPackageStartupMessages(library(googlesheets4))We acquire the survey data from a Google sheet generated by the survey form, then save it as as CSV.
if (params$reimport) {
if (!dir.exists(params$csv_dir)) {
message("Creating missing `include/csv/`.")
dir.create(params$csv_dir)
}
options(gargle_oauth_email = Sys.getenv("GMAIL_SURVEY"))
googledrive::drive_auth()
student_ratings <- read_sheet(
"https://docs.google.com/spreadsheets/d/17kvNbyOj1SYjyasxgpo6vDZce1sL4lwqqeAbRCWJJEE/edit?gid=526883845#gid=526883845"
) |>
readr::write_csv(file.path(params$csv_dir, params$data_csv_fn))
}We reimport the saved CSV file and clean it.
ratings <- readr::read_csv(file.path(params$csv_dir, params$data_csv_fn),
show_col_types = FALSE)
names(ratings) [1] "Timestamp"
[2] "Email Address"
[3] "A: How robust is the evidence for Piaget's trajectories?"
[4] "B: When does object permanence emerge?"
[5] "C. How does changing the task inform on the underlying construct(s) about physical knowledge?"
[6] "D: Rich interpretation of group differences in infant looking-time paradigms: How rich is dangerous? Necessary? Productive?"
[7] "E: How do developmental disorders inform our understanding of cognitive development?"
[8] "F: The risks of generalization"
[9] "G: A connectionist model to explain why infants seem so smart"
[10] "H: Emergentism and variants of the A-not-B task"
[11] "I: Does development gate input to prevent a \"blooming, buzzing confusion?\""
[12] "J: How AI & robotics inform developmental science?"
[13] "K: Imitation in cultural learning"
[14] "L: Gesture"
[15] "M: Learning from testimony"
[16] "N: Naive psychology"
[17] "O: Poverty is bad for cognition"
[18] "P: Poverty can be adaptive for cognition"
We want to capture the “raw” or full question name and the short variable name in a data dictionary.
ratings_qs <- names(ratings)
ratings_clean <- ratings |>
dplyr::rename(
timestamp = "Timestamp",
email = "Email Address",
piaget_traj = "A: How robust is the evidence for Piaget's trajectories?",
obj_perm = "B: When does object permanence emerge?",
core_knowl = "C. How does changing the task inform on the underlying construct(s) about physical knowledge?",
rich_interp = "D: Rich interpretation of group differences in infant looking-time paradigms: How rich is dangerous? Necessary? Productive?",
dev_disorders = "E: How do developmental disorders inform our understanding of cognitive development?",
generalization = "F: The risks of generalization",
connectionism = "G: A connectionist model to explain why infants seem so smart",
a_not_b = "H: Emergentism and variants of the A-not-B task",
gate_input = "I: Does development gate input to prevent a \"blooming, buzzing confusion?\"",
ai_robotics = "J: How AI & robotics inform developmental science?",
imitation = "K: Imitation in cultural learning",
gesture = "L: Gesture",
testimony = "M: Learning from testimony",
naive_psy = "N: Naive psychology",
poverty_bad = "O: Poverty is bad for cognition",
poverty_adaptive = "P: Poverty can be adaptive for cognition"
)
student_info <- readr::read_csv(file.path(params$csv_dir, "student_data.csv"),
show_col_types = FALSE)
# Add a student index variable
ratings_clean <- ratings_clean |>
mutate(student_i = 1:length(timestamp))
ratings_clean <- left_join(ratings_clean, student_info, by = 'email')
ratings_short <- names(ratings_clean)
# ratings_dd <- data.frame(qs = ratings_qs,
# qs_short = ratings_short
# )
#
# ratings_dd |>
# knitr::kable(format = 'html')
#
# readr::write_csv(ratings_dd,
# file = file.path(params$csv_dir,
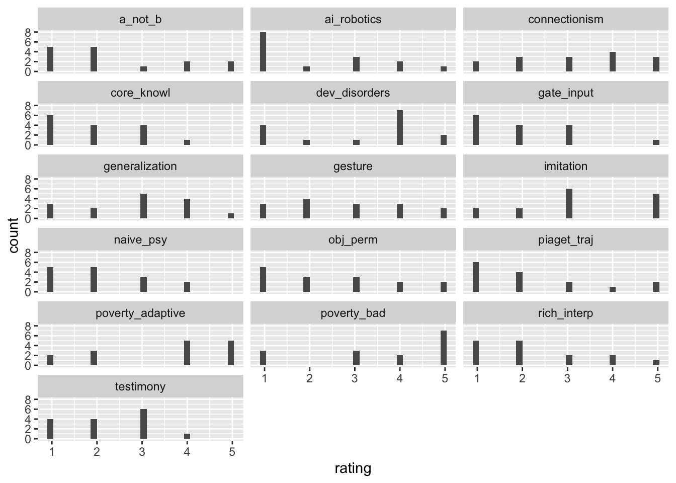
# "ratings-data-dict.csv"))Let’s look at ratings by topic to see if we have reasonable variation.
To do this, we need to incorporate the rating_* columns as row variables.
ratings_long <- ratings_clean |>
tidyr::pivot_longer(cols = c(3:18), names_to = "topic", values_to = "rating")ratings_long |>
ggplot() +
aes(x = rating) +
geom_histogram() +
facet_wrap(~ topic, nrow = 6, ncol = 3)`stat_bin()` using `bins = 30`. Pick better value with `binwidth`.
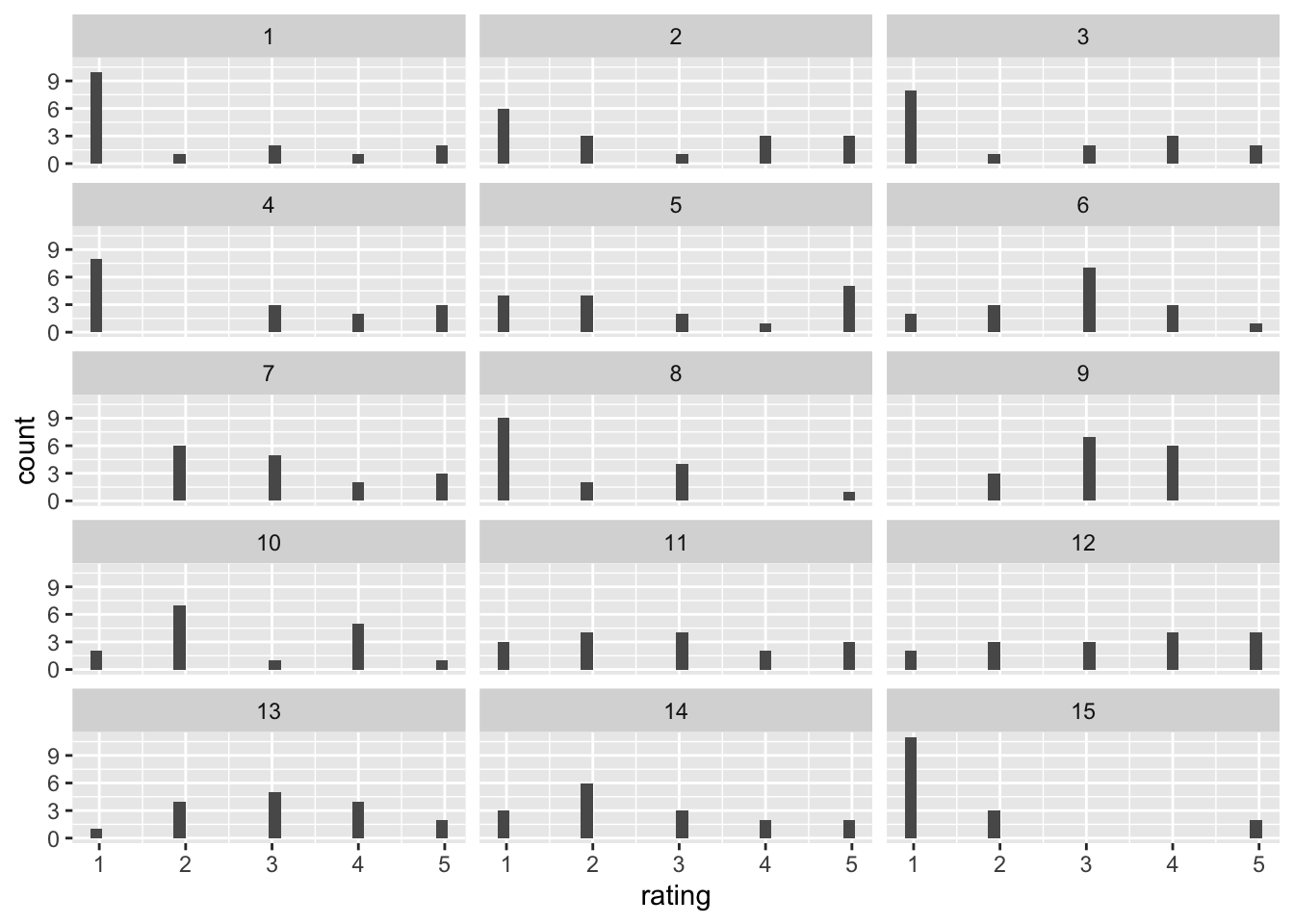
Let’s also look to see if we have some variation by student. We assign an anonymous code to each student first.
ratings_long |>
ggplot() +
aes(x = rating) +
geom_histogram() +
facet_wrap(~ student_i, nrow = 6, ncol = 3)`stat_bin()` using `bins = 30`. Pick better value with `binwidth`.

Let’s work in order of the presentations, by date
ratings_long |>
filter(topic == "piaget_traj", rating >= 3) |>
arrange(timestamp) |>
knitr::kable(format = 'html')| timestamp | student_i | name | topic | rating | |
|---|---|---|---|---|---|
| 2025-08-26 16:19:19 | ars7656@psu.edu | 2 | Alyssa Swift | piaget_traj | 5 |
| 2025-08-27 22:49:30 | mml5964@psu.edu | 5 | Makenna Luzenski | piaget_traj | 4 |
| 2025-08-29 09:22:04 | lxd5406@psu.edu | 9 | Luke Debec | piaget_traj | 3 |
| 2025-08-29 14:03:01 | jzh6650@psu.edu | 12 | Jinyi He | piaget_traj | 5 |
| 2025-08-30 07:49:21 | zps5262@psu.edu | 13 | Suzy Su | piaget_traj | 3 |
ratings_long |>
filter(topic == "obj_perm", rating >= 3) |>
arrange(timestamp) |>
knitr::kable(format = 'html')| timestamp | student_i | name | topic | rating | |
|---|---|---|---|---|---|
| 2025-08-26 16:19:19 | ars7656@psu.edu | 2 | Alyssa Swift | obj_perm | 5 |
| 2025-08-27 16:09:30 | opb5142@psu.edu | 4 | Olivia Bell | obj_perm | 3 |
| 2025-08-27 22:49:30 | mml5964@psu.edu | 5 | Makenna Luzenski | obj_perm | 5 |
| 2025-08-28 22:21:09 | pxs5614@psu.edu | 7 | Pratt Srinivasan | obj_perm | 3 |
| 2025-08-29 09:23:35 | gks5496@psu.edu | 10 | Zeynep Sülün | obj_perm | 4 |
| 2025-08-29 14:03:01 | jzh6650@psu.edu | 12 | Jinyi He | obj_perm | 3 |
| 2025-08-30 07:49:21 | zps5262@psu.edu | 13 | Suzy Su | obj_perm | 4 |
presenters <- data.frame(email = NA, date = NA, topic = NA, present_discuss = NA)
presenters[1, 'email'] <- "ars7656@psu.edu"
presenters[1, 'date'] <- "2025-09-12"
presenters[1, 'topic'] <- "piaget_traj"
presenters[1, 'present_discuss'] <- "present"
presenters[2, 'email'] <- "jzh6650@psu.edu"
presenters[2, 'date'] <- "2025-09-12"
presenters[2, 'topic'] <- "piaget_traj"
presenters[2, 'present_discuss'] <- "discuss"
presenters[3, 'email'] <- "mml5964@psu.edu"
presenters[3, 'date'] <- "2025-09-12"
presenters[3, 'topic'] <- "obj_perm"
presenters[3, 'present_discuss'] <- "present"
presenters[4, 'email'] <- "gks5496@psu.edu"
presenters[4, 'date'] <- "2025-09-12"
presenters[4, 'topic'] <- "obj_perm"
presenters[4, 'present_discuss'] <- "discuss"
presenters email date topic present_discuss
1 ars7656@psu.edu 2025-09-12 piaget_traj present
2 jzh6650@psu.edu 2025-09-12 piaget_traj discuss
3 mml5964@psu.edu 2025-09-12 obj_perm present
4 gks5496@psu.edu 2025-09-12 obj_perm discuss
ratings_long |>
filter(topic == "core_knowl", rating >= 3) |>
arrange(timestamp) |>
knitr::kable(format = 'html')| timestamp | student_i | name | topic | rating | |
|---|---|---|---|---|---|
| 2025-08-27 22:49:30 | mml5964@psu.edu | 5 | Makenna Luzenski | core_knowl | 3 |
| 2025-08-29 09:22:04 | lxd5406@psu.edu | 9 | Luke Debec | core_knowl | 3 |
| 2025-08-29 12:07:38 | cfa5368@psu.edu | 11 | Carlos Almeida | core_knowl | 4 |
| 2025-08-30 07:49:21 | zps5262@psu.edu | 13 | Suzy Su | core_knowl | 3 |
| 2025-08-30 11:26:33 | ckl5780@psu.edu | 14 | Caesar Liu | core_knowl | 3 |
ratings_long |>
filter(topic == "rich_interp", rating >= 3) |>
arrange(timestamp) |>
knitr::kable(format = 'html')| timestamp | student_i | name | topic | rating | |
|---|---|---|---|---|---|
| 2025-08-26 16:19:19 | ars7656@psu.edu | 2 | Alyssa Swift | rich_interp | 4 |
| 2025-08-27 16:09:30 | opb5142@psu.edu | 4 | Olivia Bell | rich_interp | 3 |
| 2025-08-27 22:49:30 | mml5964@psu.edu | 5 | Makenna Luzenski | rich_interp | 5 |
| 2025-08-29 12:07:38 | cfa5368@psu.edu | 11 | Carlos Almeida | rich_interp | 3 |
| 2025-08-30 07:49:21 | zps5262@psu.edu | 13 | Suzy Su | rich_interp | 4 |
presenters[5, 'email'] <- "cfa5368@psu.edu"
presenters[5, 'date'] <- "2025-09-26"
presenters[5, 'topic'] <- "core_knowl"
presenters[5, 'present_discuss'] <- "present"
presenters[6, 'email'] <- "yqk5318@psu.edu"
presenters[6, 'date'] <- "2025-09-26"
presenters[6, 'topic'] <- "core_knowl"
presenters[6, 'present_discuss'] <- "discuss"
presenters[7, 'email'] <- "zps5262@psu.edu"
presenters[7, 'date'] <- "2025-09-26"
presenters[7, 'topic'] <- "rich_interp"
presenters[7, 'present_discuss'] <- "present"
presenters[8, 'email'] <- "mml5964@psu.edu"
presenters[8, 'date'] <- "2025-09-26"
presenters[8, 'topic'] <- "rich_interp"
presenters[8, 'present_discuss'] <- "discuss"
presenters |>
arrange(email, date, present_discuss) |>
knitr::kable(format = 'html')| date | topic | present_discuss | |
|---|---|---|---|
| ars7656@psu.edu | 2025-09-12 | piaget_traj | present |
| cfa5368@psu.edu | 2025-09-26 | core_knowl | present |
| gks5496@psu.edu | 2025-09-12 | obj_perm | discuss |
| jzh6650@psu.edu | 2025-09-12 | piaget_traj | discuss |
| mml5964@psu.edu | 2025-09-12 | obj_perm | present |
| mml5964@psu.edu | 2025-09-26 | rich_interp | discuss |
| yqk5318@psu.edu | 2025-09-26 | core_knowl | discuss |
| zps5262@psu.edu | 2025-09-26 | rich_interp | present |
ratings_long |>
filter(topic == "dev_disorders", rating >= 3) |>
arrange(timestamp) |>
knitr::kable(format = 'html')| timestamp | student_i | name | topic | rating | |
|---|---|---|---|---|---|
| 2025-08-27 11:01:47 | kab7845@psu.edu | 3 | Katie Billetdeaux | dev_disorders | 5 |
| 2025-08-27 16:09:30 | opb5142@psu.edu | 4 | Olivia Bell | dev_disorders | 4 |
| 2025-08-28 09:35:18 | lfh5527@psu.edu | 6 | Hanna Huang | dev_disorders | 4 |
| 2025-08-28 22:21:09 | pxs5614@psu.edu | 7 | Pratt Srinivasan | dev_disorders | 5 |
| 2025-08-29 09:22:04 | lxd5406@psu.edu | 9 | Luke Debec | dev_disorders | 4 |
| 2025-08-29 09:23:35 | gks5496@psu.edu | 10 | Zeynep Sülün | dev_disorders | 4 |
| 2025-08-29 12:07:38 | cfa5368@psu.edu | 11 | Carlos Almeida | dev_disorders | 3 |
| 2025-08-29 14:03:01 | jzh6650@psu.edu | 12 | Jinyi He | dev_disorders | 4 |
| 2025-08-30 07:49:21 | zps5262@psu.edu | 13 | Suzy Su | dev_disorders | 4 |
| 2025-08-30 11:26:33 | ckl5780@psu.edu | 14 | Caesar Liu | dev_disorders | 4 |
ratings_long |>
filter(topic == "generalization", rating >= 3) |>
arrange(timestamp) |>
knitr::kable(format = 'html')| timestamp | student_i | name | topic | rating | |
|---|---|---|---|---|---|
| 2025-08-27 16:09:30 | opb5142@psu.edu | 4 | Olivia Bell | generalization | 4 |
| 2025-08-27 22:49:30 | mml5964@psu.edu | 5 | Makenna Luzenski | generalization | 3 |
| 2025-08-28 09:35:18 | lfh5527@psu.edu | 6 | Hanna Huang | generalization | 3 |
| 2025-08-28 22:21:09 | pxs5614@psu.edu | 7 | Pratt Srinivasan | generalization | 3 |
| 2025-08-29 02:12:03 | eoa5294@psu.edu | 8 | Elizabeth Aleru | generalization | 3 |
| 2025-08-29 09:22:04 | lxd5406@psu.edu | 9 | Luke Debec | generalization | 4 |
| 2025-08-29 09:23:35 | gks5496@psu.edu | 10 | Zeynep Sülün | generalization | 4 |
| 2025-08-29 12:07:38 | cfa5368@psu.edu | 11 | Carlos Almeida | generalization | 5 |
| 2025-08-29 14:03:01 | jzh6650@psu.edu | 12 | Jinyi He | generalization | 4 |
| 2025-08-30 07:49:21 | zps5262@psu.edu | 13 | Suzy Su | generalization | 3 |
Let’s see who does not yet have an assignment.
presenters_assigned <- presenters$email |>
unique()
all_students <- ratings_long$email |>
unique()
not_assigned <- !(all_students %in% presenters_assigned)
all_students[not_assigned][1] "nsb5522@psu.edu" "kab7845@psu.edu" "opb5142@psu.edu" "lfh5527@psu.edu"
[5] "pxs5614@psu.edu" "eoa5294@psu.edu" "lxd5406@psu.edu" "ckl5780@psu.edu"
presenters[9, 'email'] <- "kab7845@psu.edu"
presenters[9, 'date'] <- "2025-10-05"
presenters[9, 'topic'] <- "dev_disorders"
presenters[9, 'present_discuss'] <- "present"
presenters[10, 'email'] <- "pxs5614@psu.edu"
presenters[10, 'date'] <- "2025-10-05"
presenters[10, 'topic'] <- "dev_disorders"
presenters[10, 'present_discuss'] <- "discuss"
presenters[11, 'email'] <- "cfa5368@psu.edu"
presenters[11, 'date'] <- "2025-10-05"
presenters[11, 'topic'] <- "generalization"
presenters[11, 'present_discuss'] <- "discuss"
presenters[12, 'email'] <- "opb5142@psu.edu"
presenters[12, 'date'] <- "2025-10-05"
presenters[12, 'topic'] <- "generalization"
presenters[12, 'present_discuss'] <- "present"
presenters |>
arrange(email, date, present_discuss) |>
knitr::kable(format = 'html')| date | topic | present_discuss | |
|---|---|---|---|
| ars7656@psu.edu | 2025-09-12 | piaget_traj | present |
| cfa5368@psu.edu | 2025-09-26 | core_knowl | present |
| cfa5368@psu.edu | 2025-10-05 | generalization | discuss |
| gks5496@psu.edu | 2025-09-12 | obj_perm | discuss |
| jzh6650@psu.edu | 2025-09-12 | piaget_traj | discuss |
| kab7845@psu.edu | 2025-10-05 | dev_disorders | present |
| mml5964@psu.edu | 2025-09-12 | obj_perm | present |
| mml5964@psu.edu | 2025-09-26 | rich_interp | discuss |
| opb5142@psu.edu | 2025-10-05 | generalization | present |
| pxs5614@psu.edu | 2025-10-05 | dev_disorders | discuss |
| yqk5318@psu.edu | 2025-09-26 | core_knowl | discuss |
| zps5262@psu.edu | 2025-09-26 | rich_interp | present |
presenters_assigned <- presenters$email |>
unique()
all_students <- ratings_long$email |>
unique()
not_assigned <- !(all_students %in% presenters_assigned)
all_students[not_assigned][1] "nsb5522@psu.edu" "lfh5527@psu.edu" "eoa5294@psu.edu" "lxd5406@psu.edu"
[5] "ckl5780@psu.edu"
ratings_long |>
filter(topic == "connectionism", rating >= 3) |>
arrange(timestamp) |>
knitr::kable(format = 'html')| timestamp | student_i | name | topic | rating | |
|---|---|---|---|---|---|
| 2025-08-26 16:11:24 | nsb5522@psu.edu | 1 | Natalie Byrd | connectionism | 3 |
| 2025-08-26 16:19:19 | ars7656@psu.edu | 2 | Alyssa Swift | connectionism | 4 |
| 2025-08-27 16:09:30 | opb5142@psu.edu | 4 | Olivia Bell | connectionism | 5 |
| 2025-08-27 22:49:30 | mml5964@psu.edu | 5 | Makenna Luzenski | connectionism | 5 |
| 2025-08-28 09:35:18 | lfh5527@psu.edu | 6 | Hanna Huang | connectionism | 3 |
| 2025-08-28 22:21:09 | pxs5614@psu.edu | 7 | Pratt Srinivasan | connectionism | 4 |
| 2025-08-29 02:12:03 | eoa5294@psu.edu | 8 | Elizabeth Aleru | connectionism | 3 |
| 2025-08-29 09:23:35 | gks5496@psu.edu | 10 | Zeynep Sülün | connectionism | 5 |
| 2025-08-30 07:49:21 | zps5262@psu.edu | 13 | Suzy Su | connectionism | 4 |
| 2025-08-30 11:26:33 | ckl5780@psu.edu | 14 | Caesar Liu | connectionism | 4 |
ratings_long |>
filter(topic == "a_not_b", rating >= 3) |>
arrange(timestamp) |>
knitr::kable(format = 'html')| timestamp | student_i | name | topic | rating | |
|---|---|---|---|---|---|
| 2025-08-26 16:11:24 | nsb5522@psu.edu | 1 | Natalie Byrd | a_not_b | 4 |
| 2025-08-26 16:19:19 | ars7656@psu.edu | 2 | Alyssa Swift | a_not_b | 5 |
| 2025-08-29 09:22:04 | lxd5406@psu.edu | 9 | Luke Debec | a_not_b | 3 |
| 2025-08-29 09:23:35 | gks5496@psu.edu | 10 | Zeynep Sülün | a_not_b | 4 |
| 2025-08-30 07:49:21 | zps5262@psu.edu | 13 | Suzy Su | a_not_b | 5 |
presenters[13, 'email'] <- "gks5496@psu.edu"
presenters[13, 'date'] <- "2025-10-24"
presenters[13, 'topic'] <- "connectionism"
presenters[13, 'present_discuss'] <- "present"
presenters[14, 'email'] <- "ckl5780@psu.edu"
presenters[14, 'date'] <- "2025-10-24"
presenters[14, 'topic'] <- "connectionism"
presenters[14, 'present_discuss'] <- "discuss"
presenters[15, 'email'] <- "nsb5522@psu.edu"
presenters[15, 'date'] <- "2025-10-24"
presenters[15, 'topic'] <- "a_not_b"
presenters[15, 'present_discuss'] <- "present"
presenters[16, 'email'] <- "zps5262@psu.edu"
presenters[16, 'date'] <- "2025-10-24"
presenters[16, 'topic'] <- "a_not_b"
presenters[16, 'present_discuss'] <- "discuss"
presenters |>
arrange(email, date, present_discuss) |>
knitr::kable(format = 'html')| date | topic | present_discuss | |
|---|---|---|---|
| ars7656@psu.edu | 2025-09-12 | piaget_traj | present |
| cfa5368@psu.edu | 2025-09-26 | core_knowl | present |
| cfa5368@psu.edu | 2025-10-05 | generalization | discuss |
| ckl5780@psu.edu | 2025-10-24 | connectionism | discuss |
| gks5496@psu.edu | 2025-09-12 | obj_perm | discuss |
| gks5496@psu.edu | 2025-10-24 | connectionism | present |
| jzh6650@psu.edu | 2025-09-12 | piaget_traj | discuss |
| kab7845@psu.edu | 2025-10-05 | dev_disorders | present |
| mml5964@psu.edu | 2025-09-12 | obj_perm | present |
| mml5964@psu.edu | 2025-09-26 | rich_interp | discuss |
| nsb5522@psu.edu | 2025-10-24 | a_not_b | present |
| opb5142@psu.edu | 2025-10-05 | generalization | present |
| pxs5614@psu.edu | 2025-10-05 | dev_disorders | discuss |
| yqk5318@psu.edu | 2025-09-26 | core_knowl | discuss |
| zps5262@psu.edu | 2025-09-26 | rich_interp | present |
| zps5262@psu.edu | 2025-10-24 | a_not_b | discuss |
presenters_assigned <- presenters$email |>
unique()
all_students <- ratings_long$email |>
unique()
not_assigned <- !(all_students %in% presenters_assigned)
all_students[not_assigned][1] "lfh5527@psu.edu" "eoa5294@psu.edu" "lxd5406@psu.edu"
ratings_long |>
filter(topic == "gate_input", rating >= 3) |>
arrange(timestamp) |>
knitr::kable(format = 'html')| timestamp | student_i | name | topic | rating | |
|---|---|---|---|---|---|
| 2025-08-26 16:19:19 | ars7656@psu.edu | 2 | Alyssa Swift | gate_input | 3 |
| 2025-08-28 09:35:18 | lfh5527@psu.edu | 6 | Hanna Huang | gate_input | 3 |
| 2025-08-29 09:22:04 | lxd5406@psu.edu | 9 | Luke Debec | gate_input | 3 |
| 2025-08-29 12:07:38 | cfa5368@psu.edu | 11 | Carlos Almeida | gate_input | 3 |
| 2025-08-30 07:49:21 | zps5262@psu.edu | 13 | Suzy Su | gate_input | 5 |
ratings_long |>
filter(topic == "ai_robotics", rating >= 3) |>
arrange(timestamp) |>
knitr::kable(format = 'html')| timestamp | student_i | name | topic | rating | |
|---|---|---|---|---|---|
| 2025-08-28 09:35:18 | lfh5527@psu.edu | 6 | Hanna Huang | ai_robotics | 4 |
| 2025-08-28 22:21:09 | pxs5614@psu.edu | 7 | Pratt Srinivasan | ai_robotics | 5 |
| 2025-08-29 09:22:04 | lxd5406@psu.edu | 9 | Luke Debec | ai_robotics | 3 |
| 2025-08-29 12:07:38 | cfa5368@psu.edu | 11 | Carlos Almeida | ai_robotics | 3 |
| 2025-08-29 14:03:01 | jzh6650@psu.edu | 12 | Jinyi He | ai_robotics | 4 |
| 2025-08-30 11:26:33 | ckl5780@psu.edu | 14 | Caesar Liu | ai_robotics | 3 |
presenters[17, 'email'] <- "lxd5406@psu.edu"
presenters[17, 'date'] <- "2025-10-31"
presenters[17, 'topic'] <- "gate_input"
presenters[17, 'present_discuss'] <- "present"
presenters[18, 'email'] <- "ars7656@psu.edu"
presenters[18, 'date'] <- "2025-10-31"
presenters[18, 'topic'] <- "gate_input"
presenters[18, 'present_discuss'] <- "discuss"
presenters[19, 'email'] <- "pxs5614@psu.edu"
presenters[19, 'date'] <- "2025-10-31"
presenters[19, 'topic'] <- "ai_robotics"
presenters[19, 'present_discuss'] <- "present"
presenters[20, 'email'] <- "lfh5527@psu.edu"
presenters[20, 'date'] <- "2025-10-31"
presenters[20, 'topic'] <- "ai_robotics"
presenters[20, 'present_discuss'] <- "discuss"
presenters |>
arrange(email, date, present_discuss) |>
knitr::kable(format = 'html')| date | topic | present_discuss | |
|---|---|---|---|
| ars7656@psu.edu | 2025-09-12 | piaget_traj | present |
| ars7656@psu.edu | 2025-10-31 | gate_input | discuss |
| cfa5368@psu.edu | 2025-09-26 | core_knowl | present |
| cfa5368@psu.edu | 2025-10-05 | generalization | discuss |
| ckl5780@psu.edu | 2025-10-24 | connectionism | discuss |
| gks5496@psu.edu | 2025-09-12 | obj_perm | discuss |
| gks5496@psu.edu | 2025-10-24 | connectionism | present |
| jzh6650@psu.edu | 2025-09-12 | piaget_traj | discuss |
| kab7845@psu.edu | 2025-10-05 | dev_disorders | present |
| lfh5527@psu.edu | 2025-10-31 | ai_robotics | discuss |
| lxd5406@psu.edu | 2025-10-31 | gate_input | present |
| mml5964@psu.edu | 2025-09-12 | obj_perm | present |
| mml5964@psu.edu | 2025-09-26 | rich_interp | discuss |
| nsb5522@psu.edu | 2025-10-24 | a_not_b | present |
| opb5142@psu.edu | 2025-10-05 | generalization | present |
| pxs5614@psu.edu | 2025-10-05 | dev_disorders | discuss |
| pxs5614@psu.edu | 2025-10-31 | ai_robotics | present |
| yqk5318@psu.edu | 2025-09-26 | core_knowl | discuss |
| zps5262@psu.edu | 2025-09-26 | rich_interp | present |
| zps5262@psu.edu | 2025-10-24 | a_not_b | discuss |
presenters_assigned <- presenters$email |>
unique()
all_students <- ratings_long$email |>
unique()
not_assigned <- !(all_students %in% presenters_assigned)
all_students[not_assigned][1] "eoa5294@psu.edu"
ratings_long |>
filter(topic == "imitation", rating >= 3) |>
arrange(timestamp) |>
knitr::kable(format = 'html')| timestamp | student_i | name | topic | rating | |
|---|---|---|---|---|---|
| 2025-08-26 16:11:24 | nsb5522@psu.edu | 1 | Natalie Byrd | imitation | 3 |
| 2025-08-27 11:01:47 | kab7845@psu.edu | 3 | Katie Billetdeaux | imitation | 3 |
| 2025-08-27 16:09:30 | opb5142@psu.edu | 4 | Olivia Bell | imitation | 3 |
| 2025-08-28 09:35:18 | lfh5527@psu.edu | 6 | Hanna Huang | imitation | 5 |
| 2025-08-28 22:21:09 | pxs5614@psu.edu | 7 | Pratt Srinivasan | imitation | 5 |
| 2025-08-29 02:12:03 | eoa5294@psu.edu | 8 | Elizabeth Aleru | imitation | 5 |
| 2025-08-29 09:22:04 | lxd5406@psu.edu | 9 | Luke Debec | imitation | 3 |
| 2025-08-29 09:23:35 | gks5496@psu.edu | 10 | Zeynep Sülün | imitation | 3 |
| 2025-08-29 12:07:38 | cfa5368@psu.edu | 11 | Carlos Almeida | imitation | 5 |
| 2025-08-29 14:03:01 | jzh6650@psu.edu | 12 | Jinyi He | imitation | 5 |
| 2025-08-30 07:49:21 | zps5262@psu.edu | 13 | Suzy Su | imitation | 3 |
ratings_long |>
filter(topic == "gesture", rating >= 3) |>
arrange(timestamp) |>
knitr::kable(format = 'html')| timestamp | student_i | name | topic | rating | |
|---|---|---|---|---|---|
| 2025-08-26 16:19:19 | ars7656@psu.edu | 2 | Alyssa Swift | gesture | 4 |
| 2025-08-27 11:01:47 | kab7845@psu.edu | 3 | Katie Billetdeaux | gesture | 5 |
| 2025-08-28 09:35:18 | lfh5527@psu.edu | 6 | Hanna Huang | gesture | 3 |
| 2025-08-28 22:21:09 | pxs5614@psu.edu | 7 | Pratt Srinivasan | gesture | 4 |
| 2025-08-29 02:12:03 | eoa5294@psu.edu | 8 | Elizabeth Aleru | gesture | 3 |
| 2025-08-29 09:22:04 | lxd5406@psu.edu | 9 | Luke Debec | gesture | 3 |
| 2025-08-29 09:23:35 | gks5496@psu.edu | 10 | Zeynep Sülün | gesture | 4 |
| 2025-08-29 14:03:01 | jzh6650@psu.edu | 12 | Jinyi He | gesture | 5 |
presenters[21, 'email'] <- "lfh5527@psu.edu"
presenters[21, 'date'] <- "2025-11-14"
presenters[21, 'topic'] <- "imitation"
presenters[21, 'present_discuss'] <- "present"
presenters[22, 'email'] <- "eoa5294@psu.edu"
presenters[22, 'date'] <- "2025-11-14"
presenters[22, 'topic'] <- "imitation"
presenters[22, 'present_discuss'] <- "discuss"
presenters[23, 'email'] <- "jzh6650@psu.edu"
presenters[23, 'date'] <- "2025-11-14"
presenters[23, 'topic'] <- "gesture"
presenters[23, 'present_discuss'] <- "present"
presenters[24, 'email'] <- "kab7845@psu.edu"
presenters[24, 'date'] <- "2025-11-14"
presenters[24, 'topic'] <- "gesture"
presenters[24, 'present_discuss'] <- "discuss"
presenters |>
arrange(email, date, present_discuss) |>
knitr::kable(format = 'html')| date | topic | present_discuss | |
|---|---|---|---|
| ars7656@psu.edu | 2025-09-12 | piaget_traj | present |
| ars7656@psu.edu | 2025-10-31 | gate_input | discuss |
| cfa5368@psu.edu | 2025-09-26 | core_knowl | present |
| cfa5368@psu.edu | 2025-10-05 | generalization | discuss |
| ckl5780@psu.edu | 2025-10-24 | connectionism | discuss |
| eoa5294@psu.edu | 2025-11-14 | imitation | discuss |
| gks5496@psu.edu | 2025-09-12 | obj_perm | discuss |
| gks5496@psu.edu | 2025-10-24 | connectionism | present |
| jzh6650@psu.edu | 2025-09-12 | piaget_traj | discuss |
| jzh6650@psu.edu | 2025-11-14 | gesture | present |
| kab7845@psu.edu | 2025-10-05 | dev_disorders | present |
| kab7845@psu.edu | 2025-11-14 | gesture | discuss |
| lfh5527@psu.edu | 2025-10-31 | ai_robotics | discuss |
| lfh5527@psu.edu | 2025-11-14 | imitation | present |
| lxd5406@psu.edu | 2025-10-31 | gate_input | present |
| mml5964@psu.edu | 2025-09-12 | obj_perm | present |
| mml5964@psu.edu | 2025-09-26 | rich_interp | discuss |
| nsb5522@psu.edu | 2025-10-24 | a_not_b | present |
| opb5142@psu.edu | 2025-10-05 | generalization | present |
| pxs5614@psu.edu | 2025-10-05 | dev_disorders | discuss |
| pxs5614@psu.edu | 2025-10-31 | ai_robotics | present |
| yqk5318@psu.edu | 2025-09-26 | core_knowl | discuss |
| zps5262@psu.edu | 2025-09-26 | rich_interp | present |
| zps5262@psu.edu | 2025-10-24 | a_not_b | discuss |
presenters_assigned <- presenters$email |>
unique()
all_students <- ratings_long$email |>
unique()
not_assigned <- !(all_students %in% presenters_assigned)
all_students[not_assigned]character(0)
ratings_long |>
filter(topic == "testimony", rating >= 3) |>
arrange(timestamp) |>
knitr::kable(format = 'html')| timestamp | student_i | name | topic | rating | |
|---|---|---|---|---|---|
| 2025-08-27 11:01:47 | kab7845@psu.edu | 3 | Katie Billetdeaux | testimony | 3 |
| 2025-08-28 09:35:18 | lfh5527@psu.edu | 6 | Hanna Huang | testimony | 3 |
| 2025-08-28 22:21:09 | pxs5614@psu.edu | 7 | Pratt Srinivasan | testimony | 3 |
| 2025-08-29 02:12:03 | eoa5294@psu.edu | 8 | Elizabeth Aleru | testimony | 3 |
| 2025-08-29 09:22:04 | lxd5406@psu.edu | 9 | Luke Debec | testimony | 4 |
| 2025-08-29 14:03:01 | jzh6650@psu.edu | 12 | Jinyi He | testimony | 3 |
| 2025-08-30 11:26:33 | ckl5780@psu.edu | 14 | Caesar Liu | testimony | 3 |
presenters[25, 'email'] <- "eoa5294@psu.edu"
presenters[25, 'date'] <- "2025-11-21"
presenters[25, 'topic'] <- "testimony"
presenters[25, 'present_discuss'] <- "present"
presenters[26, 'email'] <- "lxd5406@psu.edu"
presenters[26, 'date'] <- "2025-11-21"
presenters[26, 'topic'] <- "testimony"
presenters[26, 'present_discuss'] <- "discuss"
presenters |>
arrange(email, date, present_discuss) |>
knitr::kable(format = 'html')| date | topic | present_discuss | |
|---|---|---|---|
| ars7656@psu.edu | 2025-09-12 | piaget_traj | present |
| ars7656@psu.edu | 2025-10-31 | gate_input | discuss |
| cfa5368@psu.edu | 2025-09-26 | core_knowl | present |
| cfa5368@psu.edu | 2025-10-05 | generalization | discuss |
| ckl5780@psu.edu | 2025-10-24 | connectionism | discuss |
| eoa5294@psu.edu | 2025-11-14 | imitation | discuss |
| eoa5294@psu.edu | 2025-11-21 | testimony | present |
| gks5496@psu.edu | 2025-09-12 | obj_perm | discuss |
| gks5496@psu.edu | 2025-10-24 | connectionism | present |
| jzh6650@psu.edu | 2025-09-12 | piaget_traj | discuss |
| jzh6650@psu.edu | 2025-11-14 | gesture | present |
| kab7845@psu.edu | 2025-10-05 | dev_disorders | present |
| kab7845@psu.edu | 2025-11-14 | gesture | discuss |
| lfh5527@psu.edu | 2025-10-31 | ai_robotics | discuss |
| lfh5527@psu.edu | 2025-11-14 | imitation | present |
| lxd5406@psu.edu | 2025-10-31 | gate_input | present |
| lxd5406@psu.edu | 2025-11-21 | testimony | discuss |
| mml5964@psu.edu | 2025-09-12 | obj_perm | present |
| mml5964@psu.edu | 2025-09-26 | rich_interp | discuss |
| nsb5522@psu.edu | 2025-10-24 | a_not_b | present |
| opb5142@psu.edu | 2025-10-05 | generalization | present |
| pxs5614@psu.edu | 2025-10-05 | dev_disorders | discuss |
| pxs5614@psu.edu | 2025-10-31 | ai_robotics | present |
| yqk5318@psu.edu | 2025-09-26 | core_knowl | discuss |
| zps5262@psu.edu | 2025-09-26 | rich_interp | present |
| zps5262@psu.edu | 2025-10-24 | a_not_b | discuss |
presenters |>
group_by(email) |>
summarize(n_sched = n()) |>
filter(n_sched < 2) |>
knitr::kable(format = 'html') | n_sched | |
|---|---|
| ckl5780@psu.edu | 1 |
| nsb5522@psu.edu | 1 |
| opb5142@psu.edu | 1 |
| yqk5318@psu.edu | 1 |
presenters_assigned <- presenters$email |>
unique()
all_students <- ratings_long$email |>
unique()
not_assigned <- !(all_students %in% presenters_assigned)
all_students[not_assigned]character(0)
ratings_long |>
filter(topic == "naive_psy", rating >= 3) |>
arrange(timestamp) |>
knitr::kable(format = 'html')| timestamp | student_i | name | topic | rating | |
|---|---|---|---|---|---|
| 2025-08-27 11:01:47 | kab7845@psu.edu | 3 | Katie Billetdeaux | naive_psy | 4 |
| 2025-08-28 09:35:18 | lfh5527@psu.edu | 6 | Hanna Huang | naive_psy | 3 |
| 2025-08-28 22:21:09 | pxs5614@psu.edu | 7 | Pratt Srinivasan | naive_psy | 3 |
| 2025-08-29 09:22:04 | lxd5406@psu.edu | 9 | Luke Debec | naive_psy | 4 |
| 2025-08-29 14:03:01 | jzh6650@psu.edu | 12 | Jinyi He | naive_psy | 3 |
presenters[27, 'email'] <- "TBD"
presenters[27, 'date'] <- "2025-12-05"
presenters[27, 'topic'] <- "naive_psy"
presenters[27, 'present_discuss'] <- "present"
presenters[28, 'email'] <- "TBD"
presenters[28, 'date'] <- "2025-12-05"
presenters[28, 'topic'] <- "naive_psy"
presenters[28, 'present_discuss'] <- "discuss"
presenters |>
arrange(email, date, present_discuss) |>
knitr::kable(format = 'html')| date | topic | present_discuss | |
|---|---|---|---|
| TBD | 2025-12-05 | naive_psy | discuss |
| TBD | 2025-12-05 | naive_psy | present |
| ars7656@psu.edu | 2025-09-12 | piaget_traj | present |
| ars7656@psu.edu | 2025-10-31 | gate_input | discuss |
| cfa5368@psu.edu | 2025-09-26 | core_knowl | present |
| cfa5368@psu.edu | 2025-10-05 | generalization | discuss |
| ckl5780@psu.edu | 2025-10-24 | connectionism | discuss |
| eoa5294@psu.edu | 2025-11-14 | imitation | discuss |
| eoa5294@psu.edu | 2025-11-21 | testimony | present |
| gks5496@psu.edu | 2025-09-12 | obj_perm | discuss |
| gks5496@psu.edu | 2025-10-24 | connectionism | present |
| jzh6650@psu.edu | 2025-09-12 | piaget_traj | discuss |
| jzh6650@psu.edu | 2025-11-14 | gesture | present |
| kab7845@psu.edu | 2025-10-05 | dev_disorders | present |
| kab7845@psu.edu | 2025-11-14 | gesture | discuss |
| lfh5527@psu.edu | 2025-10-31 | ai_robotics | discuss |
| lfh5527@psu.edu | 2025-11-14 | imitation | present |
| lxd5406@psu.edu | 2025-10-31 | gate_input | present |
| lxd5406@psu.edu | 2025-11-21 | testimony | discuss |
| mml5964@psu.edu | 2025-09-12 | obj_perm | present |
| mml5964@psu.edu | 2025-09-26 | rich_interp | discuss |
| nsb5522@psu.edu | 2025-10-24 | a_not_b | present |
| opb5142@psu.edu | 2025-10-05 | generalization | present |
| pxs5614@psu.edu | 2025-10-05 | dev_disorders | discuss |
| pxs5614@psu.edu | 2025-10-31 | ai_robotics | present |
| yqk5318@psu.edu | 2025-09-26 | core_knowl | discuss |
| zps5262@psu.edu | 2025-09-26 | rich_interp | present |
| zps5262@psu.edu | 2025-10-24 | a_not_b | discuss |
ratings_long |>
filter(topic == "poverty_bad", rating >= 3) |>
arrange(timestamp) |>
knitr::kable(format = 'html')| timestamp | student_i | name | topic | rating | |
|---|---|---|---|---|---|
| 2025-08-26 16:11:24 | nsb5522@psu.edu | 1 | Natalie Byrd | poverty_bad | 5 |
| 2025-08-27 11:01:47 | kab7845@psu.edu | 3 | Katie Billetdeaux | poverty_bad | 4 |
| 2025-08-27 16:09:30 | opb5142@psu.edu | 4 | Olivia Bell | poverty_bad | 5 |
| 2025-08-27 22:49:30 | mml5964@psu.edu | 5 | Makenna Luzenski | poverty_bad | 5 |
| 2025-08-28 09:35:18 | lfh5527@psu.edu | 6 | Hanna Huang | poverty_bad | 3 |
| 2025-08-28 22:21:09 | pxs5614@psu.edu | 7 | Pratt Srinivasan | poverty_bad | 3 |
| 2025-08-29 09:22:04 | lxd5406@psu.edu | 9 | Luke Debec | poverty_bad | 4 |
| 2025-08-29 12:07:38 | cfa5368@psu.edu | 11 | Carlos Almeida | poverty_bad | 5 |
| 2025-08-29 14:03:01 | jzh6650@psu.edu | 12 | Jinyi He | poverty_bad | 5 |
| 2025-08-30 07:49:21 | zps5262@psu.edu | 13 | Suzy Su | poverty_bad | 3 |
| 2025-08-30 11:26:33 | ckl5780@psu.edu | 14 | Caesar Liu | poverty_bad | 5 |
| 2025-08-31 14:28:19 | yqk5318@psu.edu | 15 | Yeonjin Kim | poverty_bad | 5 |
ratings_long |>
filter(topic == "poverty_adaptive", rating >= 3) |>
arrange(timestamp) |>
knitr::kable(format = 'html')| timestamp | student_i | name | topic | rating | |
|---|---|---|---|---|---|
| 2025-08-26 16:11:24 | nsb5522@psu.edu | 1 | Natalie Byrd | poverty_adaptive | 5 |
| 2025-08-27 11:01:47 | kab7845@psu.edu | 3 | Katie Billetdeaux | poverty_adaptive | 4 |
| 2025-08-27 16:09:30 | opb5142@psu.edu | 4 | Olivia Bell | poverty_adaptive | 5 |
| 2025-08-27 22:49:30 | mml5964@psu.edu | 5 | Makenna Luzenski | poverty_adaptive | 5 |
| 2025-08-28 09:35:18 | lfh5527@psu.edu | 6 | Hanna Huang | poverty_adaptive | 4 |
| 2025-08-29 09:22:04 | lxd5406@psu.edu | 9 | Luke Debec | poverty_adaptive | 4 |
| 2025-08-29 12:07:38 | cfa5368@psu.edu | 11 | Carlos Almeida | poverty_adaptive | 4 |
| 2025-08-29 14:03:01 | jzh6650@psu.edu | 12 | Jinyi He | poverty_adaptive | 4 |
| 2025-08-30 11:26:33 | ckl5780@psu.edu | 14 | Caesar Liu | poverty_adaptive | 5 |
| 2025-08-31 14:28:19 | yqk5318@psu.edu | 15 | Yeonjin Kim | poverty_adaptive | 5 |
presenters[29, 'email'] <- "yqk5318@psu.edu"
presenters[29, 'date'] <- "2025-12-12"
presenters[29, 'topic'] <- "poverty_bad"
presenters[29, 'present_discuss'] <- "present"
presenters[30, 'email'] <- "opb5142@psu.edu"
presenters[30, 'date'] <- "2025-12-12"
presenters[30, 'topic'] <- "poverty_bad"
presenters[30, 'present_discuss'] <- "discuss"
presenters[31, 'email'] <- "ckl5780@psu.edu"
presenters[31, 'date'] <- "2025-12-12"
presenters[31, 'topic'] <- "poverty_adaptive"
presenters[31, 'present_discuss'] <- "present"
presenters[32, 'email'] <- "nsb5522@psu.edu"
presenters[32, 'date'] <- "2025-12-12"
presenters[32, 'topic'] <- "poverty_adaptive"
presenters[32, 'present_discuss'] <- "discuss"Assign jjf6412 to 2025-12-05 role.
presenters[27, 'email'] <- "jjf6412@psu.edu"
presenters[27, 'date'] <- "2025-12-05"
presenters[27, 'topic'] <- "naive_psy"
presenters[27, 'present_discuss'] <- "present"
presenters[28, 'email'] <- "TBD"
presenters[28, 'date'] <- "2025-12-05"
presenters[28, 'topic'] <- "naive_psy"
presenters[28, 'present_discuss'] <- "discuss"presenters |>
# left_join(presenters, student_info, by = 'email') |>
# arrange(name, email, date) |>
arrange(email, date) |>
knitr::kable(format = 'html')| date | topic | present_discuss | |
|---|---|---|---|
| TBD | 2025-12-05 | naive_psy | discuss |
| ars7656@psu.edu | 2025-09-12 | piaget_traj | present |
| ars7656@psu.edu | 2025-10-31 | gate_input | discuss |
| cfa5368@psu.edu | 2025-09-26 | core_knowl | present |
| cfa5368@psu.edu | 2025-10-05 | generalization | discuss |
| ckl5780@psu.edu | 2025-10-24 | connectionism | discuss |
| ckl5780@psu.edu | 2025-12-12 | poverty_adaptive | present |
| eoa5294@psu.edu | 2025-11-14 | imitation | discuss |
| eoa5294@psu.edu | 2025-11-21 | testimony | present |
| gks5496@psu.edu | 2025-09-12 | obj_perm | discuss |
| gks5496@psu.edu | 2025-10-24 | connectionism | present |
| jjf6412@psu.edu | 2025-12-05 | naive_psy | present |
| jzh6650@psu.edu | 2025-09-12 | piaget_traj | discuss |
| jzh6650@psu.edu | 2025-11-14 | gesture | present |
| kab7845@psu.edu | 2025-10-05 | dev_disorders | present |
| kab7845@psu.edu | 2025-11-14 | gesture | discuss |
| lfh5527@psu.edu | 2025-10-31 | ai_robotics | discuss |
| lfh5527@psu.edu | 2025-11-14 | imitation | present |
| lxd5406@psu.edu | 2025-10-31 | gate_input | present |
| lxd5406@psu.edu | 2025-11-21 | testimony | discuss |
| mml5964@psu.edu | 2025-09-12 | obj_perm | present |
| mml5964@psu.edu | 2025-09-26 | rich_interp | discuss |
| nsb5522@psu.edu | 2025-10-24 | a_not_b | present |
| nsb5522@psu.edu | 2025-12-12 | poverty_adaptive | discuss |
| opb5142@psu.edu | 2025-10-05 | generalization | present |
| opb5142@psu.edu | 2025-12-12 | poverty_bad | discuss |
| pxs5614@psu.edu | 2025-10-05 | dev_disorders | discuss |
| pxs5614@psu.edu | 2025-10-31 | ai_robotics | present |
| yqk5318@psu.edu | 2025-09-26 | core_knowl | discuss |
| yqk5318@psu.edu | 2025-12-12 | poverty_bad | present |
| zps5262@psu.edu | 2025-09-26 | rich_interp | present |
| zps5262@psu.edu | 2025-10-24 | a_not_b | discuss |
presenters |>
# left_join(presenters, student_info, by = 'email') |>
arrange(date, topic) |>
select(date, topic, email, present_discuss) |>
knitr::kable(format = 'html')| date | topic | present_discuss | |
|---|---|---|---|
| 2025-09-12 | obj_perm | mml5964@psu.edu | present |
| 2025-09-12 | obj_perm | gks5496@psu.edu | discuss |
| 2025-09-12 | piaget_traj | ars7656@psu.edu | present |
| 2025-09-12 | piaget_traj | jzh6650@psu.edu | discuss |
| 2025-09-26 | core_knowl | cfa5368@psu.edu | present |
| 2025-09-26 | core_knowl | yqk5318@psu.edu | discuss |
| 2025-09-26 | rich_interp | zps5262@psu.edu | present |
| 2025-09-26 | rich_interp | mml5964@psu.edu | discuss |
| 2025-10-05 | dev_disorders | kab7845@psu.edu | present |
| 2025-10-05 | dev_disorders | pxs5614@psu.edu | discuss |
| 2025-10-05 | generalization | cfa5368@psu.edu | discuss |
| 2025-10-05 | generalization | opb5142@psu.edu | present |
| 2025-10-24 | a_not_b | nsb5522@psu.edu | present |
| 2025-10-24 | a_not_b | zps5262@psu.edu | discuss |
| 2025-10-24 | connectionism | gks5496@psu.edu | present |
| 2025-10-24 | connectionism | ckl5780@psu.edu | discuss |
| 2025-10-31 | ai_robotics | pxs5614@psu.edu | present |
| 2025-10-31 | ai_robotics | lfh5527@psu.edu | discuss |
| 2025-10-31 | gate_input | lxd5406@psu.edu | present |
| 2025-10-31 | gate_input | ars7656@psu.edu | discuss |
| 2025-11-14 | gesture | jzh6650@psu.edu | present |
| 2025-11-14 | gesture | kab7845@psu.edu | discuss |
| 2025-11-14 | imitation | lfh5527@psu.edu | present |
| 2025-11-14 | imitation | eoa5294@psu.edu | discuss |
| 2025-11-21 | testimony | eoa5294@psu.edu | present |
| 2025-11-21 | testimony | lxd5406@psu.edu | discuss |
| 2025-12-05 | naive_psy | jjf6412@psu.edu | present |
| 2025-12-05 | naive_psy | TBD | discuss |
| 2025-12-12 | poverty_adaptive | ckl5780@psu.edu | present |
| 2025-12-12 | poverty_adaptive | nsb5522@psu.edu | discuss |
| 2025-12-12 | poverty_bad | yqk5318@psu.edu | present |
| 2025-12-12 | poverty_bad | opb5142@psu.edu | discuss |
How many students?
presenters$email |> unique() |> length()[1] 17
How many topics?
presenters$topic |> unique() |> length()[1] 16
How many presenters?
presenters |>
filter(present_discuss == "present") |>
select(email) |>
unique() |>
dim()[1] 16 1
How many discussants?
presenters |>
filter(present_discuss == "discuss") |>
select(email) |>
unique() |>
dim()[1] 16 1
How many speaking opportunities per student?
presenters |>
group_by(email) |>
summarize(n_sched = n()) |>
arrange(desc(n_sched)) |>
knitr::kable(format = 'html') | n_sched | |
|---|---|
| ars7656@psu.edu | 2 |
| cfa5368@psu.edu | 2 |
| ckl5780@psu.edu | 2 |
| eoa5294@psu.edu | 2 |
| gks5496@psu.edu | 2 |
| jzh6650@psu.edu | 2 |
| kab7845@psu.edu | 2 |
| lfh5527@psu.edu | 2 |
| lxd5406@psu.edu | 2 |
| mml5964@psu.edu | 2 |
| nsb5522@psu.edu | 2 |
| opb5142@psu.edu | 2 |
| pxs5614@psu.edu | 2 |
| yqk5318@psu.edu | 2 |
| zps5262@psu.edu | 2 |
| TBD | 1 |
| jjf6412@psu.edu | 1 |